biblical restoration ministries

 
 

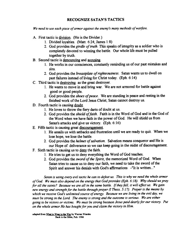
Recognize Satan’s Tactics